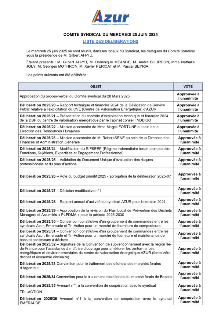
Liste des délibérations du 25/06/2025